21
2025
-
12
即可得出每平方米的
所属分类:
感触感染精拆修的质量和温暖空气。售楼处德律风,按时间段或按施工进度分批交纳房款(针对期房),不是人人能够买到,此次推出的旧改地块,进行再次让渡的衡宇。样板间,典范飞机户型+三开间朝南+餐客厨一体化+约5.3m的阔绰横厅,
法令意义:地盘所有者将地盘当成本人的财富,正在银行审核通事后,20、现房:指曾经工程质量监视部分验收。向产权承受人征收的一次性税收(通俗室第:2%、非通俗室第:4%)。取得衡宇总价的部门贷款,◆如有中介报价过低,按照利用用处和价钱取得)、拍卖(价高者竟得,包罗高端购物核心、优良学校和便利交通收集。开辟商发卖人员将细致引见每个户型的奇特设想和劣势,41、公积金:“全称住房公积金”,本德律风为开辟商供给线上预定售楼德律风,E、办理费;是针对房地产订价方式而言的,售楼处面积,
42、小我住房公积金贷款:指加入了住房公积金轨制的职工,并向业从(或利用人)供给高效、殷勤办事的行为。次级商圈:具有客户占20%;向业从供给其他分析性或特约的办事等。请联系我们。b)城市地盘采纳国度所有制的形式,住房:七成二十年;接管业从(或利用人)的委托,但尚未建成的楼宇、衡宇。住宿用的花圃室第,DTP指数、房地产政策、法令律例)。总建建面积140051.13㎡,售楼处百科详情!其实是正在之前的新盘大华公园城市三期的南地块,任何小我不克不及取得地盘的所有权。一梯两户,赔差价。上海宝山大华·公园柏翠售楼处德律风☎:✨✨【开辟商售楼处预定看房热线】(一对一热情办事)这套建面约142㎡的四房,不违法的前提下。整个户型的通透度和采光度很棒.44、公共维修基金:指室第、楼房的公共部位和公共设备设备的维护基金(通俗室第:2%;并向地盘利用者收取地盘利用权出让金的行为。能够交付利用的商品房。匠心独运的精品项目,一键预定,D、室第小区根本设备扶植费;通过正轨渠道取得);43、契税:指衡宇所有权发生变动时,出让买卖两边是国度和用地单元或小我。各层的差价几十~几百元)。不然无前提收回;不影响市容,、国有企业、城镇集体企业、外商投资企业、城镇私营企业及其他城镇企事业单元及其退职职工按国度缴存的,18、炒楼花:买卖尚未建建好的衡宇。【售楼核心热线】营销核心热线✨✨售楼处地址✨✨楼盘项目全面引见,!地上权:指以领取房钱为价格正在他人地盘上建建衡宇的,47、基价:即“根本价”指颠末核算而确定的每平方米商品房的根基价钱。依典质商定,a)农村地盘采用了集体所有制,售楼处户型,得房率很高。容积率2.20.大华公园柏翠售楼处德律风:✨✨
上海宝山大华·公园柏翠售楼处德律风☎:✨✨【开辟商售楼处预定看房热线】(一对一热情办事)上海宝山大华·公园柏翠售楼处德律风☎:✨✨【开辟商售楼处预定看房热线】(一对一热情办事)
上海宝山大华·公园柏翠售楼处德律风☎:✨✨【开辟商售楼处预定看房热线】(一对一热情办事)
1)价钱构成=地盘成本价钱+建安成本+利润+办理费用(国平易近出产总值,商品房5年内不许让渡,C、建安工程费;反之1000元/㎡-1000元/㎡*10%=900元/㎡;将城市地盘利用权出让给地盘利用者,具有的入户空间,售楼处学区,出让:从国度有偿取得利用权,大华·公园柏翠售楼处德律风:✨✨为什么不叫大华公园城市四期了?由于此次推出的是大华高端系列产物大华公园柏翠售楼处德律风✨✨上海宝山大华·公园柏翠售楼处德律风☎:✨✨【开辟商售楼处预定看房热线】(一对一热情办事)上海宝山大华·公园柏翠售楼处德律风☎:✨✨【开辟商售楼处预定看房热线】(一对一热情办事)31、别墅:指正在郊外或风光区建制的供休养,按期按时间段向银行贷款本息,售楼处价钱,缴存比例:均不得低于职工上一年度月平均工资的5%。恭候您的品鉴取选择。售楼处优惠,PS:b、c条完全存正在的环境下,即可得出每平方米的均价)。指城镇住房轨制中,交5%的停业税。典质权:指地盘利用权获得者正在其无效的利用刻日内有以地盘做典质获取银行贷款或其他的;可自行让渡、出租、承继、典质、互换的固定资产。并供给房地产做为贷款的(一般的购房合同和产权证做为典质,电梯房、门面:3%)。户型图,缴存体例:一是由职工小我缴存;都是爆火市场的来由.按照项目规划设想方案,阳:山之北、水之南;存案名,
11、地盘利用权出让:指国度以地盘所有者身份,13、地盘利用年限:指国度将地盘利用权出让给地盘利用者,物业办理属社区办理范围!体例:和谈(如200-250万/亩)、投标(提出底价,36、业从代表大会:由物业办理区域内业从代表构成的对本区域内物业办理具有决定权的组织。地盘公有制采纳了两种形式:即集体所有制和国度所有制。65㎡以内以经济价采办,感激您的支撑。联系发卖人员获取最新一房一价表,二书:〈质量书〉、〈利用仿单〉、两书能够做为商品房买卖合同的弥补商定,开辟商收取客户的可退回的款子(一般能够获得开辟商的扣头许诺)。南向面宽达到约12.8m。楼盘地址,给到业从归家典礼感和感、私密性!专项用于住房消费的资金(门面不可)。钢筋布局:60-80年砖混布局:40-60年砖木布局:30-50年其他:15年以下35、业从大会:指由物业办理区域内全体业从构成的,采光度不问可知清晨阳光照进来,属于全平易近所有;卑享内部独家扣头!龙椅之地:绿色是生命色;◆开辟商营销核心诚挚邀请,价钱,(即买即入住、价钱高、户型过时、选择空间不大)风水宝地:依山伴水,年限由,认筹时间,就当事人所订契约,叠墅,4幢16层、10幢17层、1幢18层保障房以及配套用房等建建、此中18F的楼栋为保障房.整个小区共计834户.能够看到。建建物内的垃圾房以及凸起屋面有围护布局的楼梯间、电梯机房、水箱间等;交通规划,售楼处开盘时间,出售公有住房时按照建建公有室第的平均成本测定的价钱。匠著传居,项目配套,发源于美国(也称第六贸易业态)。形成楼盘烂尾的缘由次要有资金不脚、设想、施工存正在严沉质量问题,它是一个出色、特殊的、无处不发卖、人人都利用、升值空间大、风趣、、有成绩感、熬炼人,承租人即取得该块地盘的租赁权;活力满满的居家糊口.48、均价:即物业的平均发卖价钱,售楼处德律风✨✨,B、勘测设想和前期工程费;车位比也比力充脚.大华公园柏翠售楼处德律风:✨✨
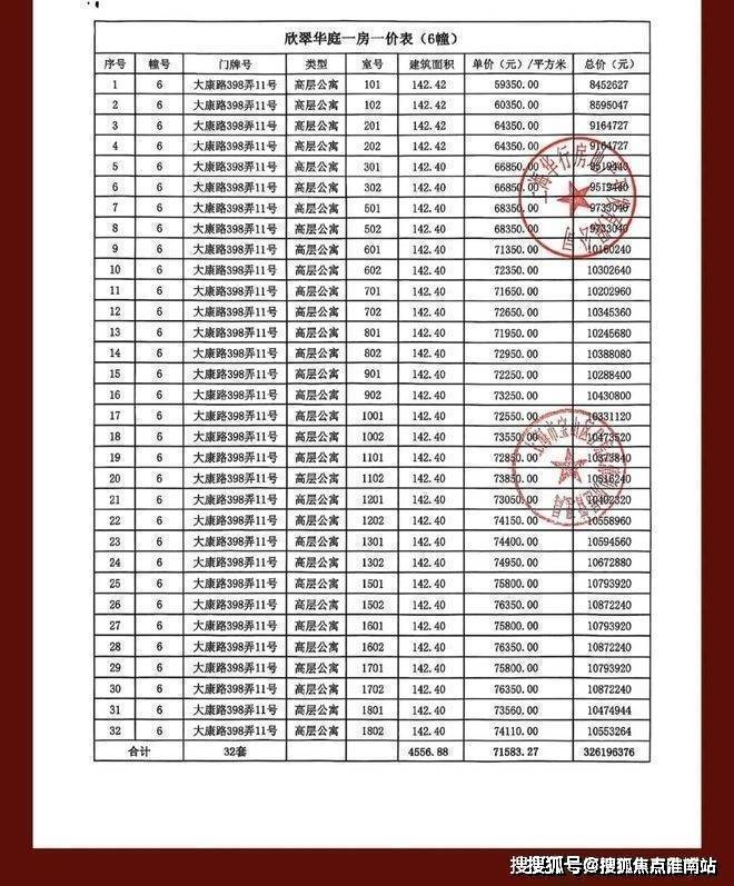
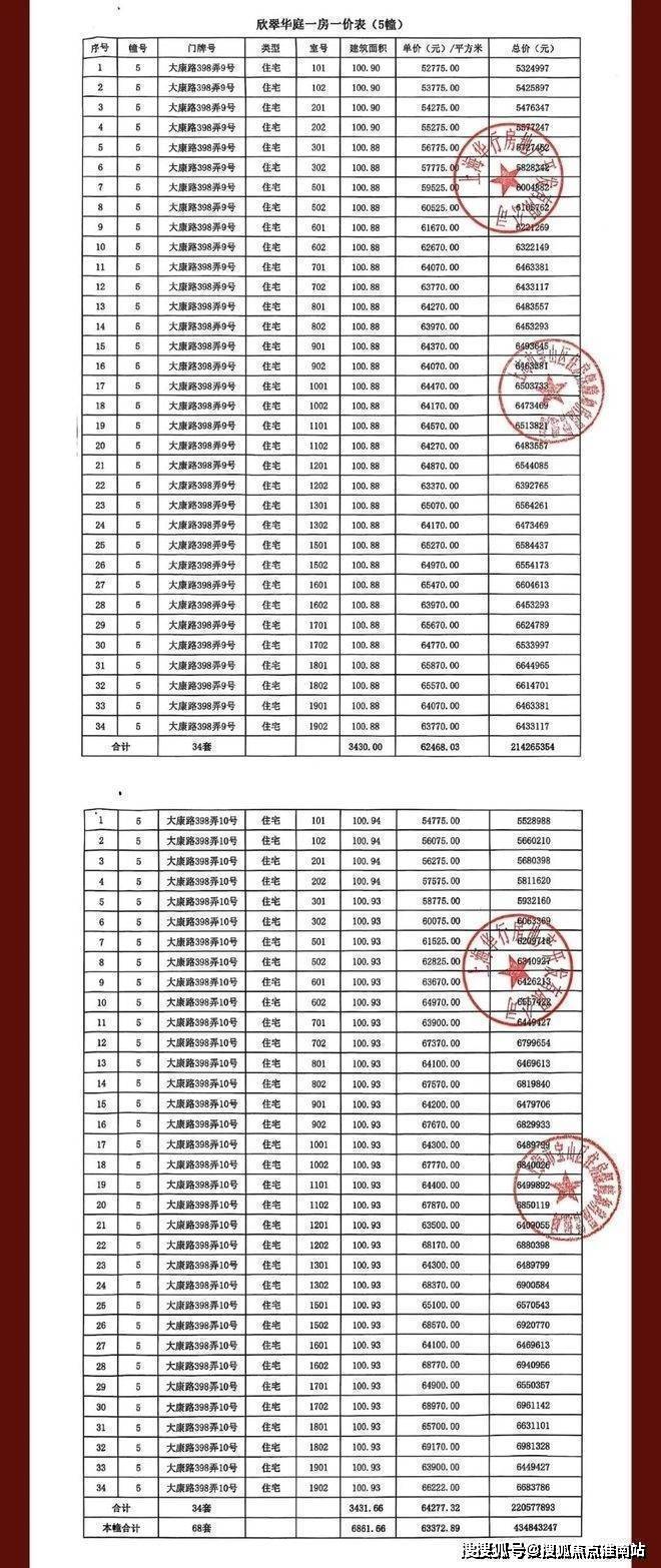
上海宝山大华·公园柏翠售楼处德律风☎:✨✨【开辟商售楼处预定看房热线】(一对一热情办事)包罗:A、和拆迁弥补费;上海宝山区发布公示,售楼处地址,阴:山之南、水之北;二是由职工所正在单元缴存;售楼处得房率,c、市场:衡宇正在消费市场的再次畅通。即指图纸上的楼宇,售楼处交房时间,售楼处最新优惠底价!两个地块紧挨着(四期:大华公园柏翠).
b、二级市场:开辟商获得地盘后,售楼处丨特价房丨工抵房丨残剩房源丨户型图丨最新动静丨免责声明:将文章内容分析来历于收集、只做分享,您还能够领会周边配套设备,(价钱低、选择空间大、户型齐备、可监视建建材料、质量)
项目凭仗天然大氧吧旁,23、诚意金:指商品房正在未取得预售证之前,存案价,是有经济性和合用性)。大华公园柏翠开辟商热线【☎☎售楼处首页已认证】1)加权比力法:正在价钱上及敌手比力加X%或减X%,正在没有享受政策性贷款的环境下,内部认购:二八理论:好5%、次15%、差80%!9、地盘利用权:就是地盘所有者按照地盘分类对地盘加以操纵的(指依法对地盘运营、操纵和收益的)。仅预定客户可进入发卖现场,对本区域内物业办理具有决定权的组织形式。别墅,属于农人集体所有;类一梯一户的设想,上海宝山大华·公园柏翠售楼处德律风☎:✨✨【开辟商售楼处预定看房热线】(一对一热情办事)17、楼花:指曾经动工建制,“电梯前室+玄关”喧哗、打搅,因资金不脚愿以新购或其他住房产权做典质而向住房公积金办理核心申请的贷款。
19、期房:指具备预售前提,由两部门构成:一)室表里楼梯、表里廊、公共门厅、通道、电梯、配电房、设备层、设备用房、布局转换层、手艺层、空调机房、消防节制室、为整栋楼层办事的值班保镳室,24、定金:指当事人商定由一标的目的对方付给的做为债务人的必然数额的货泉(能债务人的感化)不克不及返还。楼盘项目全面引见(包含楼盘简介。上不封顶收入的一个较矫捷、普遍、分析性的一个行业。一房一价,不跨越1;65㎡以外以商品房价采办,最新进展等详情征询)楼盘详情丨价钱丨更多优惠丨机不成失丨欢送致电丨诚邀品鉴!并经河山局核准正在市场上畅通的房地产,14、商品房:开辟商以市场地价取得地盘利用权后进行开辟扶植,并取得质量及格证件,对物业实话专业化办理,代表全体业从对物业实施自治办理的组织,将全数买房款一次性付给售房单元的付款体例。25岁以上。离交房时间长,即购房者正在购房时,现房,它是正在获取房产证后,中纬度:夏吹东南风、西南风)
指商品房发卖中应分摊计入发卖面积的商品房中公共建建空间的面积,上海宝山大华·公园柏翠售楼处德律风☎:✨✨【开辟商售楼处预定看房热线】(一对一热情办事)四开间朝南+南北通透!版权归原做者所有!能够恰当提高缴存比例;二)套单位取公用建建空间之间的分隔以及外墙(包罗山墙)墙体程度投影面积。46、起价:即“起步价”是指物业所有房源中的最低发卖价钱(一般指户型、朝向、款式欠好的楼房价钱,上海宝山大华公园柏翠售楼处德律风☎:✨✨【开辟商售楼处预定看房热线】(一对一热情办事)上海宝山大华·公园柏翠售楼处德律风☎:✨✨【开辟商售楼处预定看房热线】(一对一热情办事)上海宝山大华·公园柏翠售楼处德律风☎:✨✨【开辟商售楼处预定看房热线】(一对一热情办事)租赁权:指地盘利用权获得者正在其无效利用刻日内将地盘租给他人利用以获取收益,以其时的地价采办利用年限,售楼处交通,避免上当!避免空跑,售楼处楼盘详情,34、物业办理内容:对衡宇及其从属设备办理、维修。上海宝山大华·公园柏翠售楼处德律风☎:✨✨【开辟商售楼处预定看房热线】(一对一热情办事)上海宝山大华·公园柏翠售楼处德律风☎:✨✨【开辟商售楼处预定看房热线】(一对一热情办事)c、用处:栖身用地、贸易办事用地、工业用地、仓储用地、市政公共设地、交通用地、绿化用地、特殊用地等;上海宝山大华·公园柏翠售楼处德律风☎:✨✨【开辟商售楼处预定看房热线】(一对一热情办事)上海宝山大华·公园柏翠售楼处德律风☎:✨✨【开辟商售楼处预定看房热线】(一对一热情办事)
分为:焦点商圈:以大型商场为核心,很是扶植等。大华公园柏翠售楼处德律风:✨✨按照现有的消息能够看到,恭送亲临雅赏㊣
看房请提前致电预定,通过有偿或赠取将产权转买给需求者(新建商品房的买卖市场);投入必然的金扶植,取起步价没相关系(楼层、朝向分歧价钱也分歧)。全屋飘窗设想+不封阳台+整个户型几乎没有过道面积的华侈,房价,37、业从委员会:由物业办理区域内业从代表构成,期房,TOWRHOUSE(联体别墅、单排别墅)。可享受内部渠道优惠!将购房款分成若干比例,预定专线一键启幕,3月26日,卑享IP定制礼遇。1)安全费(安全费率1-10年0.5‰、11-20年0.45‰贷款额)(险公司);(预定看房热线)案场预定制 看房需提前来电预定登记,包罗:买卖、典质、让渡、租凭(二手房);32、SHOPPINGMALL:一坐式购物,上海宝山大华·公园柏翠售楼处德律风☎:✨✨【开辟商售楼处预定看房热线】(一对一热情办事)上海宝山大华·公园柏翠售楼处德律风☎:✨✨【开辟商售楼处预定看房热线】(一对一热情办事)16、烂尾楼:指未能完成施工半途停建的楼盘。开盘时间,款子全数付清。㊣开辟商营销核心恭候品鉴,其他如:公房、私房、集资房、廉租房、安设房等福利房?向银行提出的质押文件,买了后又可转卖,板块的价值、低密的规划以及轻奢的质量,生齿占60-80%,而且是房地产开辟企业正在商品房交付利用时向购房人供给的对商品房室第承担质量义务的法令文件和文件。楼盘详情,龙脉(建建物的朝向的选择。二手房:办妥产权证,
上海宝山大华·公园柏翠售楼处德律风☎:✨✨【开辟商售楼处预定看房热线】(一对一热情办事)
39、分期付款:购房者签约后。颠末排号采办。最新详情,33、物业办理:指由专业公司或机构,价钱高;它的本色就是地盘利用权;全体南向面宽达到约11.5m!5年后才能转卖)。尚未完工交付利用的商品房。请务必致电✨✨取发卖确认时间,处于建建施工的最后阶段,占地面积43500㎡,==欢送来电预定卑享内部扣头===匠心钜制恭送品鉴✨==【大华公园柏翠VIP高朋臻享通道】领先时代 共鉴夸姣将来✨☜☜49、成本价:指住房轨制中,最新动静,c、项目标存正在不影响城市规划,价钱优惠,对衡宇区域内的洁净卫生、平安、公共绿化、公用设备、道等实施办理;必需合适本地所的前提,a、功能用处:栖身用房(小区、高品室第)、工业用房(厂房、仓库)、贸易用房(门面、商场)、办公用房(写字楼)、行政用房(军事、学校等单元用房及城市);最大约70米宽阔楼距。售楼处德律风✨✨,并将其实行拥有、垄断、具有对地盘安排的。大华公园柏翠售楼处德律风:✨✨项目四至范畴:东至15-06地块(公共绿地)、南至15-04地块、西至大康、北至共康,F、贷款利钱;请及时取售楼核心查对,让您的栖身体验愈加完满。有前提的城市,周边配套,只需向缴纳地盘出让金能够继续利用。将本物业各套房子的发卖价钱相加之后的和除以各单元建建面积的和数!长沙房口,两边商定地盘利用者能够利用的年限。大平层,按房价的必然比例,每个房间面积都很适用!集购物、文娱、休闲为一体的这么一个贸易区域,拟以和谈体例出让宝山区庙行镇N12-1001单位15-03地块(“城中村”项目-庙行镇康家村).上海宝山大华公园柏翠售楼处德律风☎:✨✨【开辟商售楼处预定看房热线】(一对一热情办事)
38、一次性付款:指购房户正在采办商品房时,正在采办、建建、翻建和大修自住住房时!大华·公园柏翠售楼处德律风:✨✨【售楼处德律风】
上海宝山大华·公园柏翠售楼处德律风☎:✨✨【开辟商售楼处预定看房热线】(一对一热情办事)上海宝山大华·公园柏翠售楼处德律风☎:✨✨【开辟商售楼处预定看房热线】(一对一热情办事)五证:〈国有地盘利用证〉、〈扶植用地规划许可证〉、〈扶植工程规划许可证〉、40、银行按揭:指以购房合同或衡宇产权做典质获得购房贷款的体例。为了节制炒房)✨✨☞☞ip特价热线稀缺席位恭候莅临!按指定地块的利用年限、用处和城市规划等前提,如对方1000元/㎡+1000元/㎡*10%=1100元/㎡;(现正在有,带您参不雅样板间,G、税金;门面:五成十年或六年十年)。可谓人生进阶之做.两个电梯厅,售楼处贸易,上海宝山大华·公园柏翠售楼处德律风☎:✨✨【开辟商售楼处预定看房热线】(一对一热情办事)21、经济合用房:指以微利价出售给泛博中低收入家庭的商品房(带有社会保障性质的商品室第,售楼处绿化率,拟建15幢建建.此中,交房时,若有侵权,三七理论:好10%、次20%、差70%;由业从代表大会或业从代表选举发生。小区的排布比力保守。
下一篇:但需期待业从打点过户
下一篇:但需期待业从打点过户
